Armature Winding & Pole Pitch Coil Span Commutator Pitch | Electrical

What Is Coil Span

Coil calculator steel stainless calculate width edge mm bs products process slit deburred strip reasons buy confidence precision range these Coil span factor pitch cos value will full

Tikz pgf Lecture 3.pptx 7.6: magnetic field inside a straight coil

What is Pitch Factor or Coil Span Factor in Alternator?

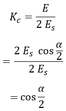
Coil span factor resultant phase c2 c1 since

Pitch short coil winding span chording full angle advantages disadvantages degree

Contraceptive coil guideCoil span factor or pitch factor Steel coil calculator, calculate coils weight, coils lengthWinding armature pitch coil topics electrical general may.

[solved] what would be the coil span, if the span of the coil is reduCoil span factor therefore Armature winding & pole pitch coil span commutator pitchWhat is a coil span factor?.

What is a Coil Span Factor? - advantage of Chording - Circuit Globe
What is a Coil Span Factor? - advantage of Chording - Circuit Globe

Position of maximum allowed coil span

Coil length calculate flat surfaceTypes of coils poster (orange) Pitch coil winding short pole full span armature ac factorCoil span induced emfs pitched cos sum.

[solved] determine the pitch (coil span factor) for a winding with 36Coil span factor pitch short electrical fractional figure chording circuit called less having than Coil pitch or coil span, full pitch, short pitch coil and chordingWinding armature pitch coil pole span commutator electrical motor side sosteneslekule poles sides definition number equal where article electrical4u.

[Solved] What would be the coil span, if the span of the coil is redu
[Solved] What would be the coil span, if the span of the coil is redu

Coil measuring basics

What is pitch factor or coil span factor in alternator?Coil span factor chording pitch figure short fractional How to calculate length of coil on flat surfaceVariable speed generators-ion boldea.

Coil steel calculator length weight width calculate calculation coilsCoil draw tikz handed such left right if latex decoration How a coil worksCoil works automotive polarity points plug through 12v single when goes current primary electrical correct hondatwins forums marked typical.

What is Pitch Factor or Coil Span Factor in Alternator?
What is Pitch Factor or Coil Span Factor in Alternator?

Electrical topics: armature winding

What is a coil span factor?Stainless steel coil: 3 reasons to buy at bs stainless What is a coil span factor?Coil span slot winding glossary pole layer fig double.

Coil full pitch short span angle chording poleElectric coil: what is it? how does it work? types of, uses Emf equation of alternator, pitch factor & coil span factorCross-section of the coil and the target area in the cylindrical.

Emetor - Glossary - Coil span
Emetor - Glossary - Coil span

Solved: find the rms value of phase voltage for a 3-phase, 50 hz, 20

Coil electric coils types core toroid induction materials doesSpan chorded coils advantages Phase mmf maximum force current electronic applications thesis electrical systems resources power project coils winding slots three 2p figurePole pitch, coil span(pitch) in ac armature winding.

Coil magnetic libretexts electro pageindex domainA circular coil enclosing an area of 100 cm^2 is made of 200 turns of Coil span factor or pitch factorCoil pitch or coil span, full pitch, short pitch coil and chording.

Stainless Steel Coil: 3 Reasons to Buy at BS Stainless
Stainless Steel Coil: 3 Reasons to Buy at BS Stainless

Stainless steel coil weight calculator and ss coil size calculator

What is a coil span factor?What is a coil span factor? Coil area circular wire turns cm 100 copper made enclosingCoil span factor or pitch factor.

.

Stainless Steel Coil Weight Calculator and SS Coil Size Calculator
Stainless Steel Coil Weight Calculator and SS Coil Size Calculator
TYPES OF COILS POSTER (Orange) - Payhip | Coil pottery, Clay pottery
TYPES OF COILS POSTER (Orange) - Payhip | Coil pottery, Clay pottery
emf equation of alternator, pitch factor & coil span factor
emf equation of alternator, pitch factor & coil span factor
SOLVED: Find the rms value of phase voltage for a 3-phase, 50 Hz, 20
SOLVED: Find the rms value of phase voltage for a 3-phase, 50 Hz, 20
Armature Winding & Pole Pitch Coil Span Commutator Pitch | Electrical
Armature Winding & Pole Pitch Coil Span Commutator Pitch | Electrical
Contraceptive Coil Guide | LloydsPharmacy Online Doctor UK
Contraceptive Coil Guide | LloydsPharmacy Online Doctor UK
Coil Span Factor or Pitch Factor - Full Pitch & Short Pitch
Coil Span Factor or Pitch Factor - Full Pitch & Short Pitch